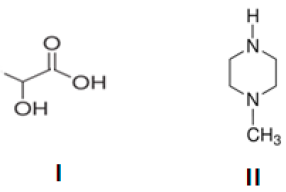
(Unicamp/2016) Com a crescente crise mundial de dengue, as pesquisas pela busca tanto de vacinas quanto de repelentes de insetos têm se intensificado. Nesse contexto, os compostos I e II abaixo representados têm propriedades muito distintas: enquanto um deles tem caráter ácido e atrai os insetos, o outro tem caráter básico e não os atrai.
Baseado nessas informações, pode-se afirmar corretamente que o composto
a) I não atrai os insetos e tem caráter básico.
b) II atrai os insetos e tem caráter ácido.
c) II não atrai os insetos e tem caráter básico.
d) I não atrai os insetos e tem caráter ácido e básico.
Resolução:
O composto I tem caráter ácido devido ao grupo carboxila (-COOH) e ao grupo (-OH) ligado à cadeia carbônica. Cuidado, porque o -OH ligado a carbono saturado define a função dos álcoois, que têm caráter ácido.
Em II tem-se um composto com caráter básico, com dois grupamentos amino na estrutura.
Resp.: C
Veja também:
– Questão comentada sobre isomeria cis-trans, do Enem.








