Confira questão sobre destino de embalagens plásticas, do Enem
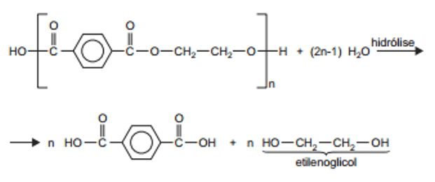
(Enem/2013) O uso de embalagens plásticas descartáveis vem crescendo em todo o mundo, juntamente com o problema ambiental gerado por seu descarte inapropriado. O politereftalato de etileno (PET), cuja estrutura é mostrada, tem sido muito utilizado
na indústria de refrigerantes e pode ser reciclado e reutilizado. Uma das opções possíveis envolve a produção de matérias-primas, como o etilenoglicol (1,2-etanodiol), a partir de objetos compostos de PET pós-consumo.
Com base nas informações do texto, uma alternativa para a obtenção de etilenoglicol a partir do PET é a
A) solubilização dos objetos.
B) combustão dos objetos.
C) trituração dos objetos.
D) hidrólise dos objetos.
E) fusão dos objetos.
Resolução:
Analisando a estrutura do PET, verifica-se que o mesmo é um éster (R-COO-R’). Como os ésteres são formados pela reação entre um ácido carboxílico e um álcool, a hidrólise do PET leva à formação do 1,2-etanodiol, conforme mostra a figura abaixo.
Veja também:
– Questão envolvendo reações orgânicas e isomeria, da Suprema 2016.2
Organize seus Estudos


Caderno Espiral Melissa Pautado 17x24 Colmeia
Preço: R$63,67









