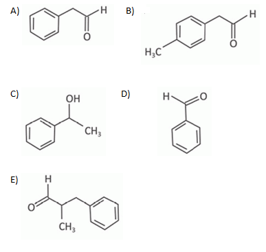
Questão produção da N-metilfenilalanina
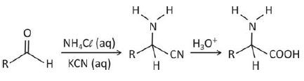
(Fuvest/2016) Um aldeído pode ser transformado em um aminoácido pela
sequência de reações:
O aminoácido N-metil-fenilalanina pode ser obtido pela mesma sequência reacional, empregando-se, em lugar do cloreto de amônio (NH4Cl), o reagente CH3NH3Cl.
Nessa transformação, o aldeído que deve ser empregado é
Resolução:
Seguindo a equação dada no enunciado, conclui-se que o aminoácido a ser usado está indicado na opção A.
A reação seria a seguinte:
Veja também:
– Questão sobre isomeria cis-trans, do Enem.









